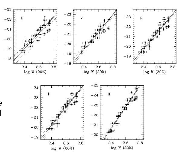
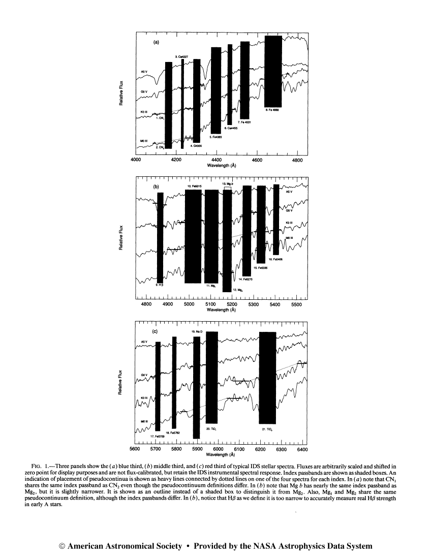
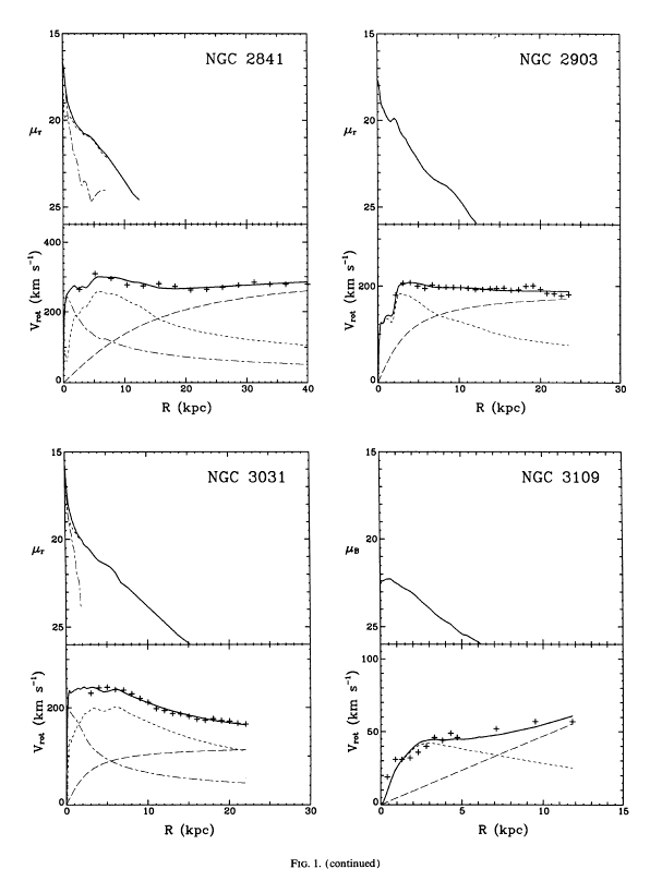
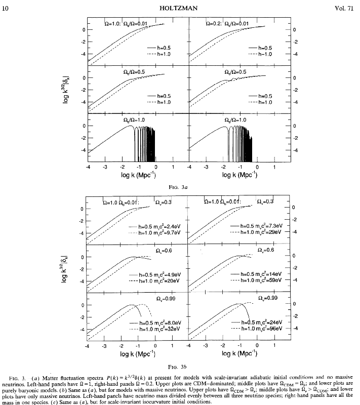
a616/agnunified.gif a616/baldry7.gif a616/baryonictf.gif a616/bbf2fig3.gif a616/bbffig2.gif a616/bbffig4.gif a616/bc10.gif a616/bc1.gif a616/bc4.gif a616/bc9.gif a616/beckerf1.gif a616/beckwithf15.gif a616/beckwithf17.gif a616/bensonfg1.gif a616/bingelli1.gif a616/bingelli4.18.gif a616/bingelli418.gif a616/blanton10.gif a616/blanton13.gif a616/blanton16.gif a616/blanton7d.gif a616/blantontab3.gif a616/bosellif14.gif a616/bosellif22.gif a616/bulgecmd.gif a616/bulgediskpops.gif a616/bulgelf.gif a616/bulgepops.gif a616/burkertf1.gif a616/burkertf3.gif a616/carinacmd.gif a616/ccfig1.gif a616/ccfig3.gif a616/ccfig5.gif a616/cctab1.gif a616/cfrs2c.gif a616/cfrsfig1.gif a616/cfrsfig2.gif a616/cfrsxiv6.gif a616/cfrsxivfig3.gif a616/charlot2.gif a616/cmdabs.jpg a616/cnoc2fig10.gif a616/cnoc2fig18.gif a616/cnoc2fig19.gif a616/cnoc2fig21.gif a616/cnoc2fig5.gif a616/cnoc2fig7.gif a616/cnoc2fig9.gif a616/collapse.gif a616/cooling.gif a616/cowie24.gif a616/cross1.gif a616/dbmcfig3.gif a616/DDO70.jpg a616/ddo.gif a616/djorfig2.gif a616/dpsfh_irr.gif a616/Draco-large.jpg a616/dressler2.gif a616/drivercross6.gif a616/dsphzdist.jpg a616/dsphzrat.jpg a616/dustfig1.gif a616/dustfig2.gif a616/dustfig3.gif a616/dzfig1.gif a616/dzfig3.gif a616/ellips.gif a616/ellis12.gif a616/ellis13.gif a616/ellis15.gif a616/elmegreenf1.gif a616/espec.gif a616/espec_nicole.gif a616/faberdeepf10.gif a616/faberdeepf11.gif a616/faberdeepf12.gif a616/faberdeepf6.gif a616/faberdeepf7.gif a616/faberdeepf8.gif a616/fountain.gif a616/gallazzif8.gif a616/gerhardf2.gif a616/giavfig1.gif a616/giavfig2.gif a616/gini.gif a616/grebelage.gif a616/grebellf.gif a616/grebelvel.gif a616/grillmair10.gif a616/grillmair8.gif a616/grillmair9.gif a616/harrisfig1.gif a616/harrisfig2.gif a616/harrisfig3.gif a616/harrisfig4.gif a616/heloufig1.gif a616/hip.jpg a616/holtz2a.gif a616/holtz3.gif a616/irrspec_nicole.gif a616/januzzi1.gif a616/januzzi2.gif a616/k98fig2.gif a616/k98fig5.gif a616/k98fig6.gif a616/k98fig7.gif a616/kannappen1.jpg a616/kannappen2.jpg a616/kauff1.gif a616/kauff2.gif a616/kbfig2.gif a616/kbfig3.gif a616/kennfig10.gif a616/kennfig11.gif a616/kennfig14.gif a616/kennfig3.gif a616/kennfig4.gif a616/kennfig6.gif a616/kennfig8.gif a616/kent1a.gif a616/kent1b.gif a616/kkfig1.gif a616/kkfig2.gif a616/ktcfig2.gif a616/ktcfig4.gif a616/ktcfig6.gif a616/ktcfig7.gif a616/kwgfig1.gif a616/kwgfig2.gif a616/kwgfig3.gif a616/kwgfig4.gif a616/kwgfig5.gif a616/kwgfig7.gif a616/laceycole10.gif a616/laceycole1.gif a616/laceycole3.gif a616/laceycole4.gif a616/laceycole5.gif a616/laceycole6.gif a616/lauerellcor.gif a616/lauerfig5.gif a616/Leo_I_dwarf_spheroidal.jpg a616/lgcmds.gif a616/lickindices.gif a616/lin11.gif a616/lin12.gif a616/lintab2.gif a616/lmcfig4.jpg a616/m31hess.jpg a616/m31struct.jpg a616/m82ha.gif a616/madau7.gif a616/madaufig9.gif a616/marzke3.gif a616/mcbfig20.gif a616/mcbfig7.gif a616/mcbfig8.gif a616/mcgaugh1.gif a616/mcgaugh2.gif a616/mcgaugh3.gif a616/mcgaugh5.gif a616/mdbfig1.gif a616/mnr_11081_f7.gif a616/mnr_11081_f9.gif a616/mnr_6292_f1.gif a616/mnr_6292_f8.gif a616/mnr_8355_f1.gif a616/msb1.gif a616/mwchem.gif a616/naabf3.gif a616/numtype.gif a616/pagel10.gif a616/pagel11.gif a616/pagel12.gif a616/pagel13.gif a616/pagel14.gif a616/pagel16.gif a616/pagel17.gif a616/pagel19.gif a616/pagel22.gif a616/pagel23.gif a616/pagel2.gif a616/pagel3.gif a616/pagel5.gif a616/pagel6.gif a616/pagel7.gif a616/pagel9.gif a616/pbfig2.gif a616/petrogal.gif a616/postgel.gif a616/profiles.gif a616/psfig4.gif a616/qal.gif a616/qsokin1.gif a616/qsokin2.gif a616/r23.jpg a616/rc3class.gif a616/renzini1.gif a616/renzini2.gif a616/renzini5.gif a616/rh2.gif a616/rh3.gif a616/rh4.gif a616/rh5.gif a616/rotation.gif a616/s0.gif a616/s0spec.gif a616/saspec.gif a616/sauronf3.gif a616/scales.gif a616/schadefig1.jpg a616/schadefig2.jpg a616/schadefig4.gif a616/sdsspie1.gif a616/sdsspie2.gif a616/sdsspie3.gif a616/selection.gif a616/sersic.gif a616/simard12.gif a616/simard5.gif a616/simard6.gif a616/skhfig1.gif a616/skhfig2.gif a616/sky.gif a616/slfig4.gif a616/sliiifig3.gif a616/sliiifig4.gif a616/sliiifig5.gif a616/sliiifig6.gif a616/sliiifig9.gif a616/slivfig1.gif a616/smail1.gif a616/smail6.gif a616/spirals.gif a616/sprayfig4.gif a616/spspec.gif a616/sspec_nicole.gif a616/steidel1a.gif a616/steidel1.gif a616/steidel2.gif a616/steidhdf8.gif a616/steidhdf9.gif a616/strateva.gif a616/tf.gif a616/tmfig2.gif a616/tmfig3.gif a616/trager1fig3.gif a616/trager1fig7.gif a616/trager2fig2.gif a616/tremainefig7.gif a616/tremontif4.gif a616/tremontif6.gif a616/tressetab2.gif a616/typei_ii.gif a616/UMa-core.jpg a616/uv_radio.gif a616/vogtfig2.gif a616/whitefrenk1.gif a616/whitefrenk2.gif a616/whitefrenk3.gif a616/worthey33.gif a616/worthey34.gif a616/worthey42.gif a616/worthey46-9.gif a616/wortheyfig1.gif a616/wortheyfig3.gif a616/wortheytab6.gif