What kind of stars are found here?

A star in this region of the Hertzsprung-Russell diagram has a temperature of roughly 29,000 kelvin (29,000 K), a luminosity 20 times less than that of the Sun (0.05 × LSolar), and a radius one hundred times smaller than the Sun (R = 0.01 × RSolar). This star lies along the narrow band where white dwarf stars are found. The high temperature indicates that this star is the end-product of a recent nova of a low-mass star (an older star would have had more time to cool, and to move down the white dwarf sequence to lower luminosities and cooler temperatures).

Try to read the values of L, T, and R for yourself from the diagram. Do you estimate values for the luminosity, temperature, and size of the star similar to those listed above?

Hertzsprung-Russell Diagram. The x-axis is labeled 'Surface Temperature' (in units of kelvins) with high temperatures around 60,000 on the left and low temperatures around 3,000 on the right. The points representing stars which appear furthest to the left are drawn in blue, those in the middle temperature range are drawn in yellow and orange, and those furthest to the right are drawn in red. The y-axis is labeled Luminosity (in units of solar luminosity), with low luminosities around 0.0001 at the bottom and high luminosities around 200,000 at the top. A third parameter, Radius (in units of solar radii), is also labeled. Lines of constant radius extend from the upper-left to the lower-right, covering the whole space with a set of parallel lines. In the lower-left corner we find the line labeled 'R is equal to 0.001 solar radii'; successive lines are labeled 0.01, 0.1, 1, 10, 100, and 1,000 solar radii, with the line for 'R is equal to 1,000 solar radii' being located in the upper-right corner. A series of blue, yellow, and orange points scattered along the 'R is equal to 0.01 solar radii' line is made up of white dwarf stars. A large set of red (and a few yellow and orange) points made up of giant stars appears between the 1 and 1,000 solar radii lines. The 1 solar radii line extends from the upper-left corner to the lower-right corner. The Main Sequence (a curved sequence of blue, yellow, orange, and red points) mainly follows the 0.1 to 10 solar radii lines; at the high luminosity end it curves up to slightly higher luminosities and at the low luminosity end it curves down to slightly lower luminosities. In addition, there are three green lines on the figure which intersect around the point near to 29,000 kelvins and    0.05 solar luminosities. One points down to the x-axis, one points left to the y-axis, and one is parallel to the black lines of constant radius (being drawn at a radius of around 0.01 solar radii).


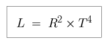
How can we find the exact luminosity L of a white dwarf in this region of the Hertzsprung-Russell diagram, if we know its temperature T and its radius R?

We can use the Stefan-Boltzmann Law to relate the temperature (T), size (R), and luminosity (L) of a star to each other. Measuring L, R, and T in solar units, we say that:

Equation: L is equal to R-squared times T-raised to the fourth power

Let us say that the temperature of the star is exactly 28,900 K. We know that the temperature of the Sun is 5,800 K, so we can convert the temperature of the star into solar units. This is just a way of asking How hot is the star relative to the Sun? (If the star is six as hot as the Sun, for example, T = 6 × TSolar. If the star is six times cooler as the Sun, T = 0.166 × TSolar.)

Equation: T is equal to 28,900 K, which is equal to 28,900 K divided by 5,800 K in units of solar temperature, which is equal to 4.98 in units of solar temperature (4.98 times hotter than the Sun).

This star is five times hotter than the Sun. Now assume that the radius of the star is exactly 0.0103 × RSolar. (We don't need to convert this radius to solar units, as we are already using them.) The final step is to calculate the luminosity L, from T and R.

Equation: L is equal to 0.0103-squared times 4.98-raised to the foruth power, which is equal to 0.0652 in units of solar luminosity (0.0652 as bright as the Sun).

We estimated a value of L = 0.05 LSolar from the diagram, for stars found in this area – so we did a reasonable job!