What kind of stars are found here?

A star in this region of the Hertzsprung-Russell diagram has a temperature of roughly 27,000 kelvin (27,000 K), a luminosity 20,000 times greater than that of the Sun (20,000 × LSolar), and a radius six times larger than the Sun (R = 6 × RSolar). This star lies along the Main Sequence, where most stars (including the Sun) are found. The fairly high temperature indicates quite blue (hot) colours.

Try to read the values of L, T, and R for yourself from the diagram. Do you estimate values for the luminosity, temperature, and size of the star similar to those listed above?

Hertzsprung-Russell Diagram. The x-axis is labeled 'Surface Temperature' (in units of kelvins) with high temperatures around 60,000 on the left and low temperatures around 3,000 on the right. The points representing stars which appear furthest to the left are drawn in blue, those in the middle temperature range are drawn in yellow and orange, and those furthest to the right are drawn in red. The y-axis is labeled Luminosity (in units of solar luminosity), with low luminosities around 0.0001 at the bottom and high luminosities around 200,000 at the top. A third parameter, Radius (in units of solar radii), is also labeled. Lines of constant radius extend from the upper-left to the lower-right, covering the whole space with a set of parallel lines. In the lower-left corner we find the line labeled 'R is equal to 0.001 solar radii'; successive lines are labeled 0.01, 0.1, 1, 10, 100, and 1,000 solar radii, with the line for 'R is equal to 1,000 solar radii' being located in the upper-right corner. A series of blue, yellow, and orange points scattered along the 'R is equal to 0.01 solar radii' line is made up of white dwarf stars. A large set of red (and a few yellow and orange) points made up of giant stars appears between the 1 and 1,000 solar radii lines. The 1 solar radii line extends from the upper-left corner to the lower-right corner. The Main Sequence (a curved sequence of blue, yellow, orange, and red points) mainly follows the 0.1 to 10 solar radii lines; at the high luminosity end it curves up to slightly higher luminosities and at the low luminosity end it curves down to slightly lower luminosities. In addition, there are three green lines on the figure which intersect around the point near to 27,000 kelvins and  20,000 solar luminosities. One points down to the x-axis, one points left to the y-axis, and one is parallel to the black lines of constant radius (being drawn at a radius of around  6 solar radii).


How can we find the exact radius R of a star in this region of the Hertzsprung-Russell diagram, if we know its temperature T and its luminosity L?

We can use the Stefan-Boltzmann Law to relate the temperature (T), size (R), and luminosity (L) of a star to each other. Measuring L, R, and T in solar units, we say that:

Equation: L is equal to R-squared times T-raised to the fourth power

Let us say that the temperature of the star is exactly 27,300 K. We know that the temperature of the Sun is 5,800 K, so we can convert the temperature of the star into solar units. This is just a way of asking How hot is the star relative to the Sun? (If the star is three times as hot as the Sun, for example, T = 3 × TSolar. If the star is one-third as hot as the Sun, T = 0.33 × TSolar.)

Equation: T is equal to 27,300 K, which is equal to ( 27,300 K / 5,800 K ) in units of solar temperature, which is equal to 4.70 in units of solar temperature (4.70 times hotter than the Sun).

This star is roughly five times hotter than the Sun. The luminosity of the star is 20,000 × LSolar. (We don't need to convert this luminosity to solar units, as we are already using them.) The final step is to calculate the radius R, from T and L.

Equation: L is equal to R-squared times T-raised to the fourth power

We begin by solving our equation for R. (We need to have R alone, on the left hand side of the equation.) Dividing both sides of the equation by T4,

Equation: R-squared is equal to L, divided by T-raised to the fourth power

The next step is to take the square-root of each side of the equation.

Equation: The square root of R-squared is equal to R, which is equal to the square root of ( L, divided by T-raised to the fourth power ), which is equal to the square root of L, divided by T-squared

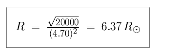
because the square-root of R2 is R, the square-root of L is L0.5, and the square-root of T4 is T4 × 0.5 = T2. We now plug in the values for L and T into the equation, to determine R.

Equation: R is equal to the square root of 20,000, divided by (4.70)-squared, which is equal to 6.37 solar radii (6.37 times the radius of the Sun)

We estimated a value of R = 6 RSolar from the diagram – an excellent match.