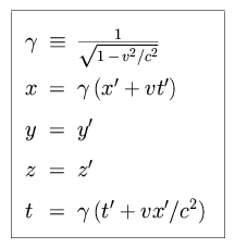
Consider the question of stellar aberration, namely the change in the apparent position of a star due to the motion of the Earth. For a reference frame K' with coordinates (x', y', z') moving in the positive x-direction with velocity v relocate to frame K with coordinates (x,y,z), we have the Lorentz transformation relating to the coordinates as follows.
![]() |
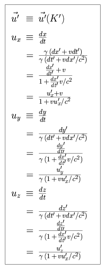
Consider a particle which has a velocity u' in the K' frame of reference. We can show that the apparent velocity in the K fame is as follows. This will result in the velocity transformations for motion parallel (ux) or perpendicular (uy or uz) to the direction of motion.
![]() |
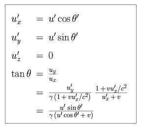
We define u'x and u'y in terms of an angle
, choosing to align our axes such that
u'z is zero. The aberration formula is then expressed in terms of
tan
.
![]() |
For the case of the aberration of light, u' = c. In this case,
![]() |
For a photon emitted at right angles to the direction of motion in frame K',
![]() |
This means that if photons are emitted isotropically in reference fame K',
in frame K it will appear that half of the photons are concentrated in a cone
of half-angle 1/
(a strong
beaming effect).
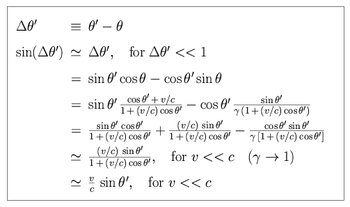
Finally, consider the aberration of starlight due to the movement of the
Earth around the Sun. For a frame moving with velocity v, we define
the aberration angle as the difference between
' and
.
![]() |
We can now find the shift S in the apparent angular position of a
star, as viewed from Earth at two points in time separated by three months.
As the nearest star lies at a distance of 10
cm, and the Earth's orbital
radius is 10
cm, the displacement of the
Earth is negligible. At the first position, the Earth is moving directly
toward the star. Three months later, the Earth is moving perpendicular to the
vector which points toward the star.
![]() |