The dilemma of a bright sky at night for a static, uniform density, infinite universe is known as Olbers' paradox, after Heinrich Olbers who posed the question of why the sky is dark at night in 1826. The problem was actually pointed out before this by J. P. L. de Chesaux, a Swiss astronomer, in 1744, and addressed by a diverse group of scholars ranging from Lord Kelvin to Mark Twain and Edgar Allen Poe.
Suppose that the Universe is static, infinite in size, and of constant density.
For a star of average luminosity L, the apparent flux from the star, observed from the Earth, is
![]() |
For a spherical shell of radius r and width dr, the apparent flux, observed from the Earth, is
![]() |
Integrating over the set of shells which make up an infinite sphere surrounding the Earth, we find the total flux.
![]() |
We begin by assuming that extinction is caused by a constant density field which permeates the entire Universe, and modify our equations for flux accordingly.
![]() |
![]() |
![]() |
Invoking extinction does appear to prevent the observed flux from diverging to infinity. However, the absorbing medium cannot act as an unlimited light sink indefinitely. It will re-emit the absorbed energy, thus re-introducing the light back into the total observed flux. In the case of our static Universe, even small accumulations of heat and light would sum to a significant amount of flux. Thus, re-emission, even at longer wavelengths, will serve to rejuvenate the total flux.
Now suppose that the Universe is expanding, and follows Hubble's Law (v = Ho r).
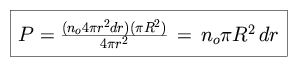
We begin by calculating the average distance along a line of sight to a star. The percentage P of the sky which is filled with stars, within a given shell, is as follows, where the radius of the star with luminosity L is defined as R.
![]() |
We require that the sky filling factor be be normalized as follows.
![]() |
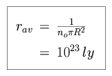
We then solve for the average distance along a given line of sight to a
star, assuming that the average solar radius R is that of the Sun (7
× 10
cm), and the density of stars
no is roughly 10
per cubic light-year.
![]() |
![]() |
While no longer infinitely bright, the night sky should still be as bright as the noonday Sun. Note, however, that Rav >> Rev, where Rev is the event horizon of standard Universe expansion models. The sky may thus be dark at night because all lines of sight do not intersect with a star which lies within our event horizon, the portion of the Universe across which light has had time to travel towards us over the age of the Universe.
We proceed to assume an expansion rate of the form
![]() |
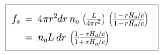
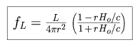
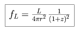
where Ho is the Hubble constant, measured in units of kilometers per second per megaparsec, and is roughly equal to 75. The observed flux from a star of luminosity L a distance r from Earth is now affected by cosmological dimming. This causes the introduction of two factors of (1 + z) in the denominator: one for pure time dilation, and one caused by the redshifting of the emitted light.
![]() |
We now need to restate (1 + z) in terms of the distance r to the star. Recall that z is simply the shift in wavelength, or frequency, observed in a particular spectral feature. Recalling the effect of time dilation upon the emission of light at a characteristic frequency,
![]() |
We can now introduce this form for (1 + z) into our expression for fL, and calculate the observed flux accordingly.
![]() |
![]() |
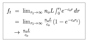
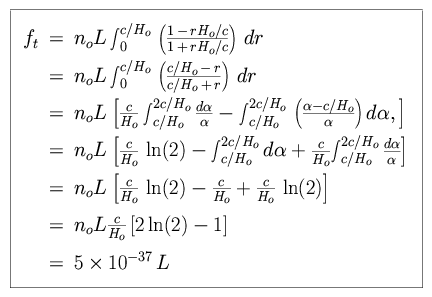
We require that v be less than or equal to the speed of light,
i.e. that r be less than or equal to c / Ho. This sets a
maximum limit on the spatial extent of our (formerly infinite) sphere of
shells. Using the change of variable
=
r + c / Ho,
![]() |
This is a far more realistic answer!