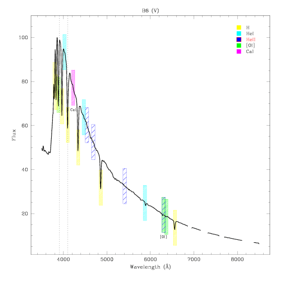
Examples of Stellar Spectra

The strong blue flux, lack of He features, and H features point towards a late B dwarf classification.