Radiation is the transport of energy via the absorption and
re-emission of photons. When the primary mechanism of energy transport in an
atmosphere is radiation, the temperature-pressure profile is governed by the
equations of radiative transport. The change in intensity, dI
, due to absorption and emission
within a cloud of gas is equal to the difference in intensity between emitted
and absorbed radiation. We define j
as the emission coefficient due
to scattering and to thermal excitation, and 
as the mass extinction
coefficient along a small increment in pathlength ds.
![]() |
Absorption (including stimulated emission, which we can think of as
negative absorption), and scattering both contribute to the extinction:

=

+

,
where

is the mass absorption coefficient and

is the mass scattering coefficient.
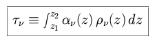
We define z to be the direction of the normal to the surface of a
planet, and
to be the angle
between s and z. It follows that ds = sec
dz. Introducing the variable x =
cos
, we define the optical
depth
as follows.
is simply the integral along the vertical
pathway of the extinction.
![]() |
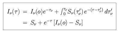
The change in intensity can be written as
![]() |
where S
is
defined as the ratio of j
over 
.
For the case
= 0 (x = 1), this
simplifies to the following. When S
does not vary with optical depth,
it can be extracted from the integrand (second line). For the general case of
arbitrary
, we would replace
by
/ x (the slant optical depth).
![]() |
If 
>> 1, then I
= S
and the intensity of the emission is
completely determined by the source function. If 
<< 1, then I
= I
(o) and the intensity of the
radiation is defined by the incident radiation.