The specific intensity I
is a conserved quantity, in the
absence of sources or sinks of radiation (dI
/ ds = 0). Unless the light rays
are traveling through a complete vacuum, however, energy will be added or
removed by emission, absorption, and/or scattering.
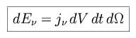
We define the emission coefficient j
as the amount of energy emitted
per unit volume, per unit time, per unit frequency, into a solid angle (with
units of ergs per second per cm3 per steradian per Hz).
![]() |
Equating dV with dA × ds, the change in the specific intensity is thus
![]() |
If P
is the power
radiated per unit volume over all solid angles, for isotropic radiation
P
= 4
j
.
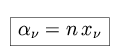
We define the absorption coefficient 
as the change in specific
intensity due to absorption. This process is stimulated directly by the
incident flux, and so the amount of absorption scales with the specific
intensity.
We can visualize this by considering a medium which is composed of a number of
discrete absorbers, scattered with a random distribution.
![]() |
| [NMSU, N. Vogt] |
Our unit volume can be represented as a cylinder, with cross-sectional area
dA and length dl. As the speed of light governs the amount of time that it
takes for energy to pass along the cylinder, dl = c × dt. As long as the
absorbers have a small enough characteristic projected area x
that they do not overlap along a
single ray passing along the cylinder, we can approximate the total absorbing
volume for a ray passing through the cylinder as (n x
) × dA ds. The amount of
energy removed from the incident flux scales with this value.
![]() |
thus
![]() |
and we define
![]() |
such that
![]() |