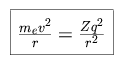
In the Bohr model of the atom, we balance the centripetal force with the Coulomb force. For an electron of charge -q, mass me (which we shall treat as equivalent to the reduced mass) and velocity v, in an orbit of radius r around a nucleus of atomic number Z,
![]() |
The electron orbital paths are constrained such that the angular momenta are
quantized, in units of
(
= h / 2
). Note that the principal quantum
number n is the sum of the radial and the azimuthal quantum numbers
(n = nr + k). We can re-express this quantization as a
constraint upon the orbital velocity v or radius r.
![]() |
The energy of the n-th level orbit can be expressed as
![]() |
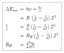
When an electron makes a transition from state n to state m, a photon is emitted with an energy corresponding to the electron's change in energy.
![]() |
This is the Balmer formula, which tells us the wavelengths of the
discrete spectral lines emitted by atomic hydrogen. For n = 3, the
Balmer formula gives a wavelength of 6563 Angstroms, the well-known H
line. Other series have been found,
most notably the Lyman, Paschen, and Brackett series, each describing
different electron transitions of orbiting electrons in the hydrogen atom.
![]() |
| [NMSU, N. Vogt] |