Convection is the transport of energy via large scale fluid motions, caused by density gradients resulting from temperature differences. It is important in dense atmospheres, molten interiors. and in the early solar nebula (when the planets formed). Consider a parcel of air in the atmosphere that is slightly warmer than its surroundings. To re-establish pressure equilibrium, that parcel volume expands, so its density becomes lower than the surrounding density. It rises (to the occasion). As the surrounding pressure decreased with height, it expands an cools. If the temperature gradient is large enough, the parcel will still be warmer than its surroundings. It will keep rising, and keep transporting heat upwards. We require that temperature decrease with decreasing pressure, fast enough to keep the parcel buoyant.
![]() |
| [NMSU, N. Vogt] |
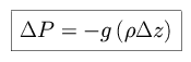
Hydrostatic equilibrium: The relationship between temperature T,
pressure P, and density
,
controlled by the balance between pressure and gravitational forces. Consider
the atmosphere as a series of slabs, stacked on top of each other. As shown
above, a slab exerts a force (weight) on the slab directly below, which can be
expressed as a pressure per unit area. The change in pressure between slabs
is due to the weight of each successive slab.
![]() |
where g = g(z) and
=
(z). In differential form,
![]() |
We can use the ideal gas law to approximate the equation of state.
![]() |
for a gas with particle density N, where µa is the mean molecular weight, in atomic mass units, and mamu is the mass of an atomic weight unit = 1.67 × 10-24 gm.
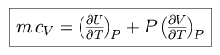
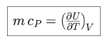
We consider next the first law of thermodynamics:
![]() |
where dQ is the heat absorbed by the system from its surroundings, dU is the change in internal energy (U = K + T), and PdV is the work done by the system on its environment (e.g. expansion).
![]() |
![]() |