The albedo
of a surface is the ratio of reflected and scattered flux to incident
flux. We define several variants of albedo below. Note that A
+ 
= 1, where
is the emissivity,
in the case where there is no scattering. The geometric albedo (head-on
reflectance) is the amount of radiation relative to a diffuse, perfect
reflector at all wavelengths. We define the phase angle
as the angle of reflectance through
which an object redirects the flux (e.g. from the Sun towards the Earth).
![]() |
![]() |
| [NMSU, N. Vogt] | |
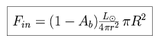
For a planet in equilibrium, the equilibrium temperature is a function of the absorbed solar flux. It must re-emit the incident flux, in a fashion which we model as a blackbody. Exceptions: Jupiter, Saturn and Neptune generate internal heat, while Venus has a hotter surface temperature due to the greenhouse effect (the upper atmosphere temperature agrees with that predicted by the blackbody model).
The sunlit hemisphere of a spherical body receives solar flux depending upon its radius R and its distance from the Sun r.
![]() |
If it rotates quickly, it will re-radiate from the entire spherical surface.
![]() |
By setting the incident and the re-radiated flux equal to each other, we can determine the equilibrium temperature, T.
![]() |
In the case of a slowly rotating body, what can we say about the equilibrium temperature at the subsolar point?