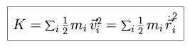
We next examine the total energy, E = K + V.
![]() |
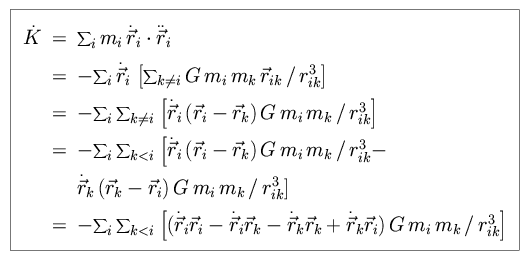
We examine the time derivative of K, and on line four we express the sum over all n particles as being over the half-grid i > k, adding a second function to take care of the top half of the grip where i < k.
![]() |
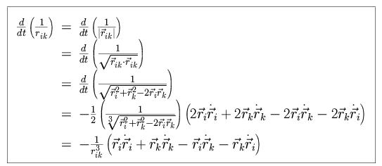
We now consider the time derivative of the following function, for reasons that will become clear immediately.
![]() |
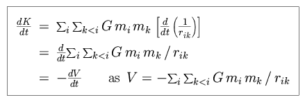
Substituting this into our relation for the time derivative of K,
![]() |
This shows us that the net change in the total energy E is zero.
![]() |
The total energy is thus a conserved quantity.
![]() |