Inertial and non-inertial reference frames
Example: Consider the Earth-Moon system. We can equate the
gravitational force and the centrifugal force, and determine scaling relations
between fundamental parameters.
We define the angular velocity, or angular frequency, as follows.
 |
 |
| [NMSU, N. Vogt] |
We next consider the energy of the system.
With no external forces, the center of mass (COM) has no net forces acting
upon it. Both bodies orbit around this point. Is the Earth-Moon system in
equilibrium?
 |
| [NMSU, N. Vogt] |
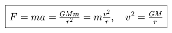
We can match the gravitational and centrifugal forces as follows.
For the case where m1 >> m2, r1 <<
r2, leading us towards a well-known result.