We begin by deriving the relationship between between the path of incident and refracted light from an initial medium of index of refraction n1 through a spherical surface with radius of curvature R and index of refraction n2.
![]() |
| [NMSU, N. Vogt] |
We first define the effective optical path length, the distance that a light ray travels through both media.
![]() |
Fermat's principle tell us that the optical path length is stationary with
respect to the position variable (in this case, the location of the interface
point along the surface of refraction). The position variable is constrained
by
, the angle between a radial
chord pointing from the center of the sphere to the interface point, and the
optical axis.
![]() |
We use the law of cosines to define l in terms of s, R and
, and determine that
![]() |
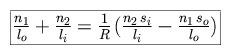
We can now focus our attention upon the paraxial region, near to the optical
axis, in which incoming rays are effectively parallel to the optical axis .
For such small values of 
, we can use the small angle
approximation and our equation simplifies to the form
![]() |
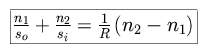
We define the object focus fo as the point which is imaged at infinity when refracted and focused through the sphere,
![]() |
![]() |
| [NMSU, N. Vogt] | |
and the partner image focus fi as the point at which an object from infinity is focused through the sphere
![]() |
![]() |
| [NMSU, N. Vogt] | |
We can evaluate four cases of objects imaged through the spherical surface, by varying the object position along the optical axis.
![]() |
|
|
|
| [NMSU, N. Vogt] | |