What kind of stars are found here?

A star in this region of the Hertzsprung-Russell diagram has a temperature of roughly 4,000 kelvin (4,000 K), a luminosity 28,000 times more than that of the Sun (28,000 × LSolar), and a radius three-hundred and thirty times larger than the Sun (R = 330 × RSolar). This star lies in the region above the Main Sequence, where giant stars are found.

The high luminosity indicates that this red supergiant star was a hot, high mass star when it lived on the Main Sequence. You may be familiar with a similar star, the well-known Betelgeuse. If Betelgeuse were to replace the Sun, it would extend outward in size to encompass Mercury, Venus, Earth, and even Mars!

Try to read the values of L, T, and R for yourself from the diagram. Do you estimate values for the luminosity, temperature, and size of the star similar to those listed above?

Hertzsprung-Russell Diagram. The x-axis is labeled 'Surface Temperature' (in units of kelvins) with high temperatures around 60,000 on the left and low temperatures around 3,000 on the right. The points representing stars which appear furthest to the left are drawn in blue, those in the middle temperature range are drawn in yellow and orange, and those furthest to the right are drawn in red. The y-axis is labeled Luminosity (in units of solar luminosity), with low luminosities around 0.0001 at the bottom and high luminosities around 200,000 at the top. A third parameter, Radius (in units of solar radii), is also labeled. Lines of constant radius extend from the upper-left to the lower-right, covering the whole space with a set of parallel lines. In the lower-left corner we find the line labeled 'R is equal to 0.001 solar radii'; successive lines are labeled 0.01, 0.1, 1, 10, 100, and 1,000 solar radii, with the line for 'R is equal to 1,000 solar radii' being located in the upper-right corner. A series of blue, yellow, and orange points scattered along the 'R is equal to 0.01 solar radii' line is made up of white dwarf stars. A large set of red (and a few yellow and orange) points made up of giant stars appears between the 1 and 1,000 solar radii lines. The 1 solar radii line extends from the upper-left corner to the lower-right corner. The Main Sequence (a curved sequence of blue, yellow, orange, and red points) mainly follows the 0.1 to 10 solar radii lines; at the high luminosity end it curves up to slightly higher luminosities and at the low luminosity end it curves down to slightly lower luminosities. In addition, there are three green lines on the figure which intersect around the point near to  4,000 kelvins and  28,000 solar luminosities. One points down to the x-axis, one points left to the y-axis, and one is parallel to the black lines of constant radius (being drawn at a radius of around 330 solar radii).


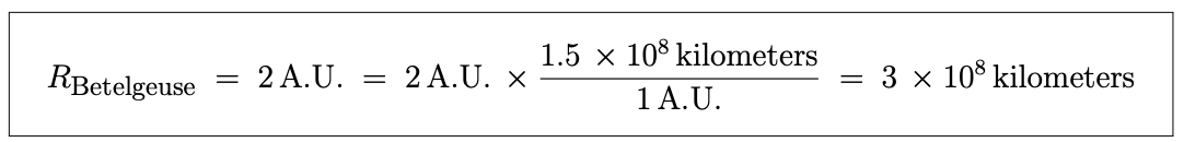
If a red supergiant star has a radius of 2 A.U., how much larger is it than the Sun?

We can answer this question by comparing the radius of the Sun to a distance of 2 A.U. We know the radius of the Sun, in kilometers.

Equation: The solar radius is equal to 696,000 kilometers.

We can express the radius of Betelgeuse in kilometers as well.

Equation: The radius of Betelgeuse is equal to 2 astronomical units, which is equal to 2 astronomical units times ( 1.5 times 10 raised to the power of 8 kilometers ) divided by 1 astronomical unit, which is equal to 3 times 10 raised to the power of 8 kilometers.

By comparing the two lengths, we see that Betelgeuse is roughly 400 times larger in radius than the Sun!

Equation: The radius of Betelgeuse is equal to 3 times 10 raised to the power of 8 kilometers times 1 solar radius divided by ( 6.96 times 10 raised to the power of 5 kilometers ), which is equal to 430 solar radii (430 times larger than the Sun).