What kind of stars are found here?

A star in this region of the Hertzsprung-Russell diagram has a temperature of roughly 3,700 Kelvin (3,700 K), a luminosity 533,000 times more than that of the Sun (533,000 × L), and a radius fifty-six times larger than the Sun (R = 56 × R). This star lies in the region above the Main Sequence, where giant stars are found.

Try to read the values of L, T, and R for yourself from the diagram. Do you estimate values for the luminosity, temperature, and size of the star similar to those listed above?


If we doubled the radius of a star in this region, and held its brightness (luminosity) constant, how would its temperature change?

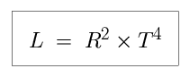
We can answer this question by beginning with the Stephan-Boltzmann Law, relating the temperature (T), size (R), and luminosity (L) of a star to each other. Measuring L, R, and T in solar units, we say that:

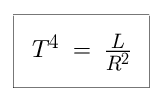
We begin by solving the Stephan-Boltzmann equation for T. (We need to have T alone, on the left hand side of the equation.) Dividing both sides of the equation by R2,

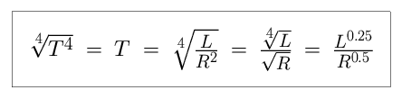
The next step is to take the fourth root of each side of the equation:

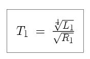
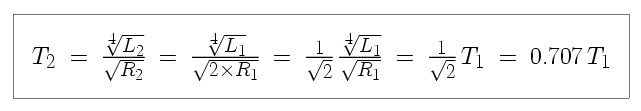
Now that we have an expression for T in terms of L and R, we can calculate the temperature in each case. The first case is quite simple.

We now double the radius of the star, and examine the change in the temperature. For the second case,

By doubling the stellar radius and holding the luminosity constant, we have forced the temperature to decrease by almost 30%! The star cannot maintain as high a temperature across the enlarged surface without pumping out more energy.