What kind of stars are found here?

A star in this region of the Hertzsprung-Russell diagram has a temperature of roughly 6,500 Kelvin (6,500 K), a luminosity 230,000 times more than that of the Sun (230,000 × L), and a radius twelve times larger than the Sun (R = 12 × R). This star lies in the region above the Main Sequence, where giant stars are found. Most stars lie on the Main Sequence, so this region is more sparsely populated.

Try to read the values of L, T, and R for yourself from the diagram. Do you estimate values for the luminosity, temperature, and size of the star similar to those listed above?


How can we find the exact temperature T of a star in this region of the Hertzsprung-Russell diagram, if we know its radius R and its Luminosity L?

We can use the Stephan-Boltzmann Law to relate the temperature (T), size (R), and luminosity (L) of a star to each other. Measuring L, R, and T in solar units, we say that:

The next step is to calculate the temperature T, from L and R. We begin by solving the Stephan-Boltzmann equation for T. (We need to have T alone, on the left hand side of the equation.) Dividing both sides of the equation by R2,

The next step is to take the fourth root of each side of the equation:

Let us say that the luminosity L of the star is exactly 228 times that of the Sun. This is just a way of stating how bright the star is relative to the Sun. (For example, if the star is three times as bright as the Sun, L = 3 × L. If the star is one-third as bright as the Sun, L = 0.33 × L.) Similarly, assume that the radius R of the star is exactly 12.1 × R. Now we can plug in the values for L and R into the equation, to determine T.

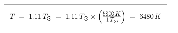
We have estimated a temperature of 6,500 K for stars found in this area of the Hertzsprung-Russell diagram. To express this temperature in Kelvin degrees rather than solar units, we need to compare the temperature of the star to the temperature of the Sun (5800 K). To do this, we just multiply the temperature of the star (in solar units) by the temperature of the Sun.

(This is an excellent match to our estimate!)