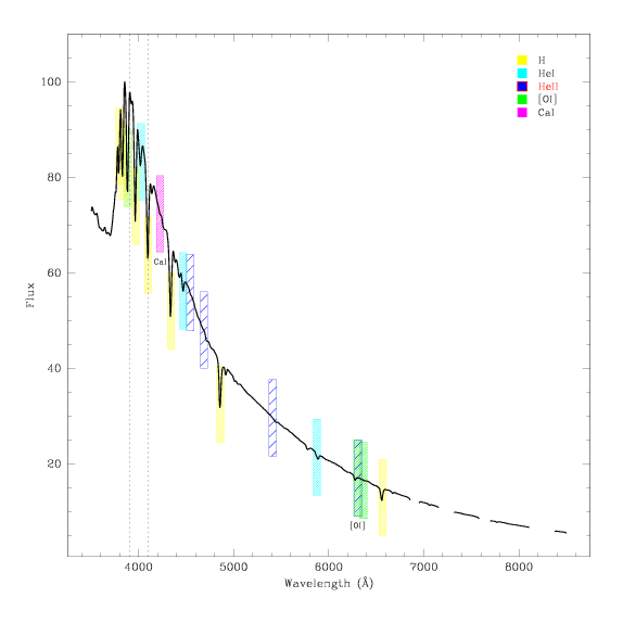
Examples of Stellar Spectra

What spectral type do these features indicate?