What kind of stars are found here?
A star in this region of the Hertzsprung-Russell diagram has a temperature of
roughly 4,000 kelvin (4,000 K), a luminosity 28,000 times more than that of
the Sun (28,000 × L
), and a radius three-hundred and
thirty times larger than the Sun (R = 330 × R
).
This star lies in the region above the Main Sequence, where giant stars are
found.
The high luminosity indicates that this red supergiant star was a hot, high mass star when it lived on the Main Sequence. You may be familiar with a similar star, the well-known Betelgeuse. If Betelgeuse were to replace the Sun, it would extend outward in size to encompass Mercury, Venus, Earth, and even Mars!
Try to read the values of L, T, and R for yourself from the diagram. Do you estimate values for the luminosity, temperature, and size of the star similar to those listed above?

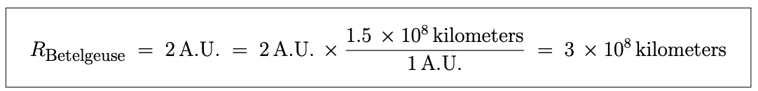
We can answer this question by comparing the radius of the Sun to a distance of 2 A.U. We know the radius of the Sun, in kilometers.

We can express the radius of Betelgeuse in kilometers as well.

By comparing the two lengths, we see that Betelgeuse is roughly 400 times larger in radius than the Sun!
