What kind of stars are found here?
A star in this region of the Hertzsprung-Russell diagram has a temperature of
roughly 7,000 kelvin (7,000 K), a luminosity 17,000 times more than that of
the Sun (17,000 × L
), and a radius eighty-four times
larger than the Sun (R = 84 × R
).
This star lies in the region above the Main Sequence, where giant stars are
found. The high luminosity indicates that this supergiant star was a hot,
high mass star when it lived on the Main Sequence.
Try to read the values of L, T, and R for yourself from the diagram. Do you estimate values for the luminosity, temperature, and size of the star similar to those listed above?

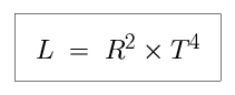
We can use the Stefan-Boltzmann Law to relate the temperature (T), size (R), and luminosity (L) of a star to each other. Measuring L, R, and T in solar units, we say that:

Let us say that the temperature of the star is exactly 7,200 K. We know that
the temperature of the Sun is 5,800 K, so we can convert the temperature of
the star into solar units. This is just a way of asking How hot is the
star relative to the Sun? (If the star is twice as hot as the Sun, for
example, T = 2 × T
. If the star is half as hot as
the Sun, T = 0.5 × T
.)

This star is one and a quarter as hot as the Sun.
Now assume that the radius of the star is exactly 84.4 × R
. (We don't need to convert this radius to solar units, as
we are already using them.)
The final step is to calculate the luminosity L, from T and R.

We estimated a similar value of L = 17,000 L
from the
diagram – so we did a good job working with our eyes!