What kind of stars are found here?
A star in this region of the Hertzsprung-Russell diagram has a temperature of
roughly 17,000 kelvin (17,000 K), a luminosity 74,000 times more than that of
the Sun (74,000 × L
), and a radius thirty-two times
larger than the Sun (R = 32 × R
).
This star lies in the region above the Main Sequence, where giant stars are
found. The high luminosity indicates that this supergiant star was a hot,
high mass star when it lived on the Main Sequence.
Try to read the values of L, T, and R for yourself from the diagram. Do you estimate values for the luminosity, temperature, and size of the star similar to those listed above?

We can use the Stefan-Boltzmann Law to relate the temperature (T), size (R), and luminosity (L) of a star to each other. Measuring L, R, and T in solar units, we say that:

Let us say that the temperature of the star is exactly 16,800 K. We know that
the temperature of the Sun is 5,800 K, so we can convert the temperature of
the star into solar units. This is just a way of asking How hot is the
star relative to the Sun? (If the star is six times as hot as the Sun, for
example, T = 6 × T
. If the star is one-sixth as hot
as the Sun, T = 0.167 × T
.)

This star is roughly three times hotter than the Sun.
The luminosity of the star is 73,800 × L
. (We don't
need to convert this luminosity to solar units, as we are already using them.)
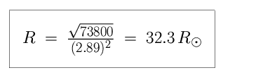
The final step is to calculate the radius R, from T and L.

We begin by solving our equation for R. (We need to have R alone, on the left hand side of the equation.) Dividing both sides of the equation by T4,

The next step is to take the square-root of each side of the equation.

because the square-root of R2 is R, the square-root of L is L0.5, and the square-root of T4 is T4 × 0.5 = T2. We now plug in the values for L and T into the equation, to determine R.

We estimated a value of R = 32 R
from the diagram
– an excellent match to the data.