What kind of stars are found here?
A star in this region of the Hertzsprung-Russell diagram has a temperature of
roughly 5,000 kelvin (5,000 K), a luminosity just over half times that of the
Sun (0.56 × L
), and a radius roughly like that of the Sun.
This star lies along the Main Sequence, where most stars (including the Sun)
are found. The moderate temperature indicates quite yellow (moderate)
colours, like Sol.
Try to read the values of L, T, and R for yourself from the diagram. Do you estimate values for the luminosity, temperature, and size of the star similar to those listed above?

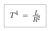
We can use the Stefan-Boltzmann Law to relate the temperature (T), size (R), and luminosity (L) of a star to each other. Measuring L, R, and T in solar units, we say that:

The next step is to calculate the temperature T, from L and R. We begin by solving the Stefan-Boltzmann equation for T. (We need to have T alone, on the left hand side of the equation.) Dividing both sides of the equation by R2,

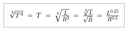
The next step is to take the fourth root of each side of the equation:

Let us say that the luminosity L of the star is exactly 0.562 times that of
the Sun. This is just a way of stating how bright the star is relative to
the Sun. (For example, if the star is three times as bright as the Sun, L
= 3 × L
. If the star is one-third as bright as the Sun, L = 0.33
× L
.)
Similarly, assume that the radius R of the star is exactly 1.00 × R
.
Now we can plug in the values for L and R into the equation, to determine T.

We have estimated a temperature of 5,000 K for stars found in this area of the Hertzsprung-Russell diagram. To express this temperature in kelvins rather than solar units, we need to compare the temperature of the star to the temperature of the Sun (5800 K). To do this, we just multiply the temperature of the star (in solar units) by the temperature of the Sun.
