Planetary Orbits
[ 36 minutes: low-resolution 4.2 MB, high resolution 16.9 MB ]

Time Stamp   HTML Slide
[00:00]Homework #2, Visualizing the Sky
(this homework will not be done during the current semester)
[00:27]The Sun at the South Pole. I
[01:37]The Sun at the South Pole. II
[02:53]The Sun at the Equator
[04:30]Self-Review
[04:51]   The Geometry of the Solar System
[08:16]Kepler's Laws of Planetary Motion
[09:22]Gravity
[11:40]Kepler's First Law
[18:51]Kepler's Second Law
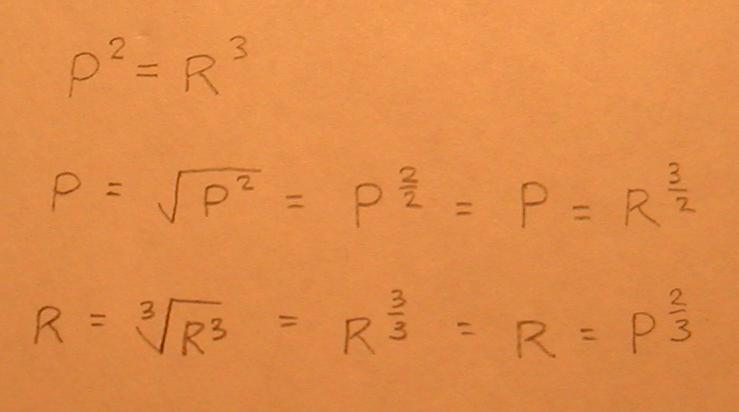
[21:56]Kepler's Third Law
[22:41]Kepler's Laws of Planetary Motion (reprise)
[30:04]Eclipses

Learning Objectives

  1. Understand Kepler's Three Laws of Planetary Motion.

    1. Relate the three laws to the underlying force of gravity.

    2. Visualize the effect of the three laws on the orbits of planets, asteroids, and comets.

    3. Calculate an orbital radius from an orbital period, or an orbital period from an orbital radius.

  2. Understand how the shadows cast by the Earth and Moon on each other produce lunar and solar eclipses.

  3. Become comfortable with such terms as opposition and conjunction when describing the locations of the planets in the sky.


Copyright © 2006 Nicole P. Vogt. All rights reserved.